导航切换
WWOJ
ProblemSet
Status
RankList
Contest
Recent
F.A.Q
Login
Login
Register
1069: 龙虎斗
Time Limit:
1 Sec
Memory Limit:
128 MB
Submission:
30
AC:
14
Score:
100.00
Submit
Codes
Description
Input
Output
Samples
input:
6 2 3 2 3 2 3 4 6 5 2
output:
2
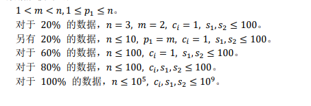
Hint
Source
2018noip普及组
Submit
Codes